澳门新葡京博彩

网站无障碍 关怀版
首页 > 报名报考 > 考试招生 > 普通高考

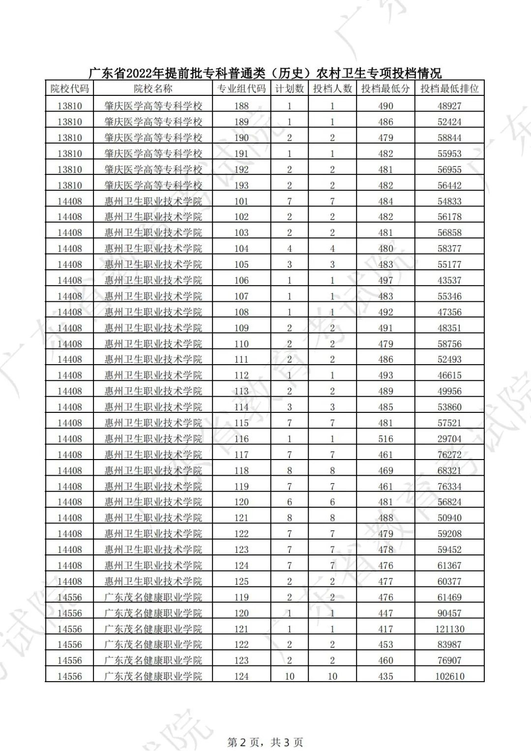
我省2022年提前批专科投档情况公布

时间 : 2022-07-30 19:44:10 来源 : 澳门新葡京博彩

  我省今年提前批专科已完成投档,投档情况如下。

转存图片


转存图片


转存图片

转存图片


  转存图片

  

转存图片

转存图片

  

  

  

  转存图片转存图片转存图片