澳门新葡京博彩

网站无障碍 关怀版
澳门新葡京博彩 > 政务公开 > 数据发布 > 统计数据

我省2022年提前批专科投档情况公布

时间 : 2023-07-30 19:44:10 来源 : 澳门新葡京博彩

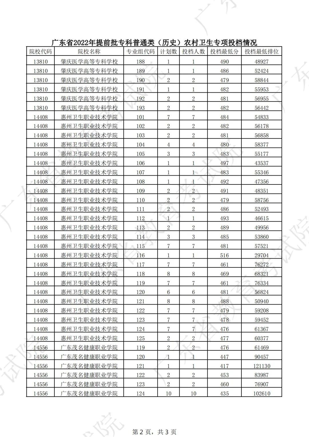
  我省今年提前批专科已完成投档,投档情况如下。

转存图片


转存图片


转存图片

转存图片


  转存图片

  

转存图片

转存图片

  

  

  

  转存图片转存图片转存图片


2026世界杯投注官网 | 世界杯下注平台 亚云体育 - 亚云体育官网|亚云 - YAYUN SPORTS 金年会体育- 金年会体育官网|金年会- JINNIANHUI SPORTS 足球直播 皇冠体育 红果体育